Toggle navigation
奇遇
首页
状态
排行榜
注册
登录
首页
题单
1092 - 流程图
1092 - 流程图
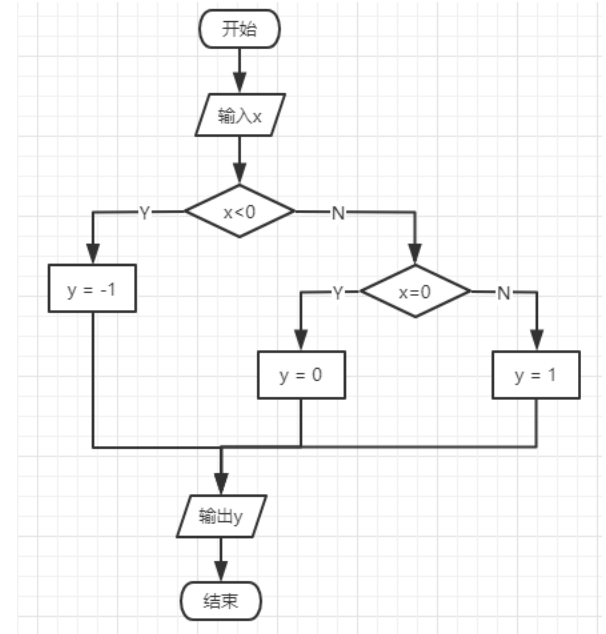
依据下面的流程图,完成程序。并简要说明程序的作用。
输入
输入x值(整数)。
输出
相应的y值。
样例
输入
-1
输出
-1
来源
奇遇编程
题目参数
时间限制
1 秒
内存限制
32 MB
提交次数
9
通过人数
6
×
提交:1092. 流程图
登录
登录
注册
提交
统计
上一题
下一题
×