2594 - 【入门】子树的大小

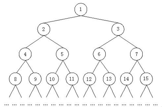
有如上图所示的完全二叉树,该二叉树有n个结点,编号从上向下、从左向右以此为1~n。请问,编号为m的结点所在的子树,包含了多少个结点?

比如,n = 12,m = 3,则上图中的结点13,14,15以及后面的结点都是不存在的,结点m=3所在子树中包括的结点有3,6,7,12,因此结点m的所在子树中共有4个结点。

输入

输入两个整数mn (1 <= m <= n <= 109)

输出

输出结点m所在子树中包含的结点的数目。

样例

输入

3 7

输出

3

来源

二叉树

题目参数

时间限制 1 秒
内存限制 32 MB
提交次数 0
通过人数 0
统计

上一题 下一题