2617 - 【基础】最大可达点

A国有n个城市(编号为1~n),城市之间修建了m条单向的高速公路。请求出从每个城市能到达的编号最大的城市是哪个城市?

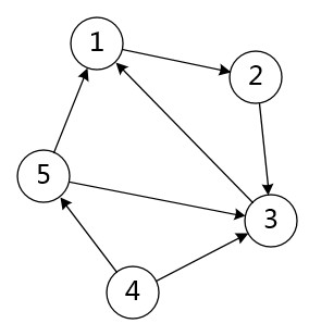
例如下图所示的地图,1 2 3 4 5号城市分别能到达的编号最大的城市为:3 3 3 5 5。

输入

第1行有2个整数n和m,分别代表城市数量和高速公路的数量。(1≤n≤105,1≤m105

接下来m行,每行有2个整数x和y,分别代表从x号城市到y号城市有一条单向的高速公路。(1≤x,y≤n

输出

输出n个整数,用空格隔开,分别代表编号为1 2 3 4 ... n的城市,按照给定的数据,能到达的最大编号的城市。

样例

输入

5 7
1 2
2 3
3 1
4 3
5 3
4 5
5 1

输出

3 3 3 5 5

来源

图论

题目参数

时间限制 1 秒
内存限制 32 MB
提交次数 0
通过人数 0
统计

上一题 下一题